Skip to Content
Skip to Main Navigation
Skip to Search
Indiana University
Indiana University
IU
Menu
David R. Williams
Mission
Profiles
Alumni
Publications
Invited Talks
Lectures at Industrial Laboratories
Professional Conferences and Colloquia
Academic Seminars
Total Synthesis
Methodologies
Stereocontrolled synthesis of substituted tetrahydrofurans
Pentadienyl carbanions
Heterocycles
Aziridinium Salts
Asymmetric conjugate additions of cuprates
SE‘ Reactions
Photos
Resources
Williams Research Laboratory
Home
David R. Williams
Mission
Profiles
Alumni
Publications
Invited Talks
Lectures at Industrial Laboratories
Professional Conferences and Colloquia
Academic Seminars
Total Synthesis
Methodologies
Stereocontrolled synthesis of substituted tetrahydrofurans
Pentadienyl carbanions
Heterocycles
Aziridinium Salts
Asymmetric conjugate additions of cuprates
SE‘ Reactions
Photos
Resources
Home
Total Synthesis
Total Synthesis
Total Synthesis
Macrolactones
Terpenes
Heterocycles
Alkaloids
Spiroketals
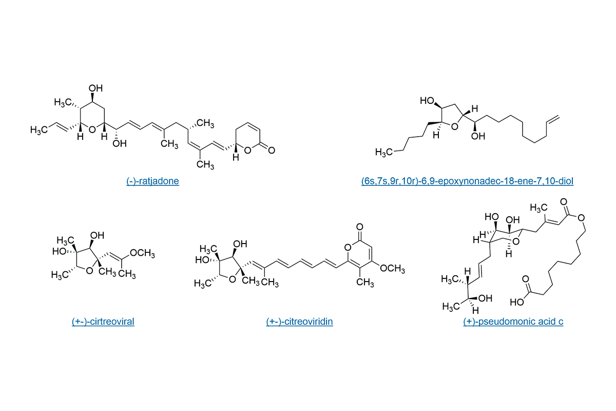
Cyclic Ethers
2-Pyridones
Williams Research Laboratory social media channels
Twitter
Facebook
YouTube
LinkedIn